近日,水土保持与荒漠化整治全国重点实验室安韶山研究员团队在土壤科学领域著名期刊Soil Biology and Biochemistry上发表题为“Increased drought intensity stimulates the extracellular polymeric substance accumulation and their contribution to soil organic carbon rather than microbial necromass ”的研究论文。水土保持与荒漠化整治全国重点实验室为第一单位,博士研究生李会军为第一作者,西北农林科技大学草业与草原学院王宝荣助理研究员为共同第一作者,安韶山研究员为通讯作者。
尽管微生物细胞壁残体是土壤有机碳(SOC)的重要来源,但微生物在干旱胁迫下通过生理调整将碳转移到胞外聚合物的生成中,从而使其成为动态的土壤碳库。两者不同的形成和周转速率差异,在预测干旱生态系统中SOC的动态变化方面造成了根本的不确定性。长期干旱条件下胞外聚合物和微生物细胞壁残体(基于氨基糖表征)的含量、它们对 SOC 积累的相对贡献以及调节它们的因素仍然缺乏明确的机制研究。
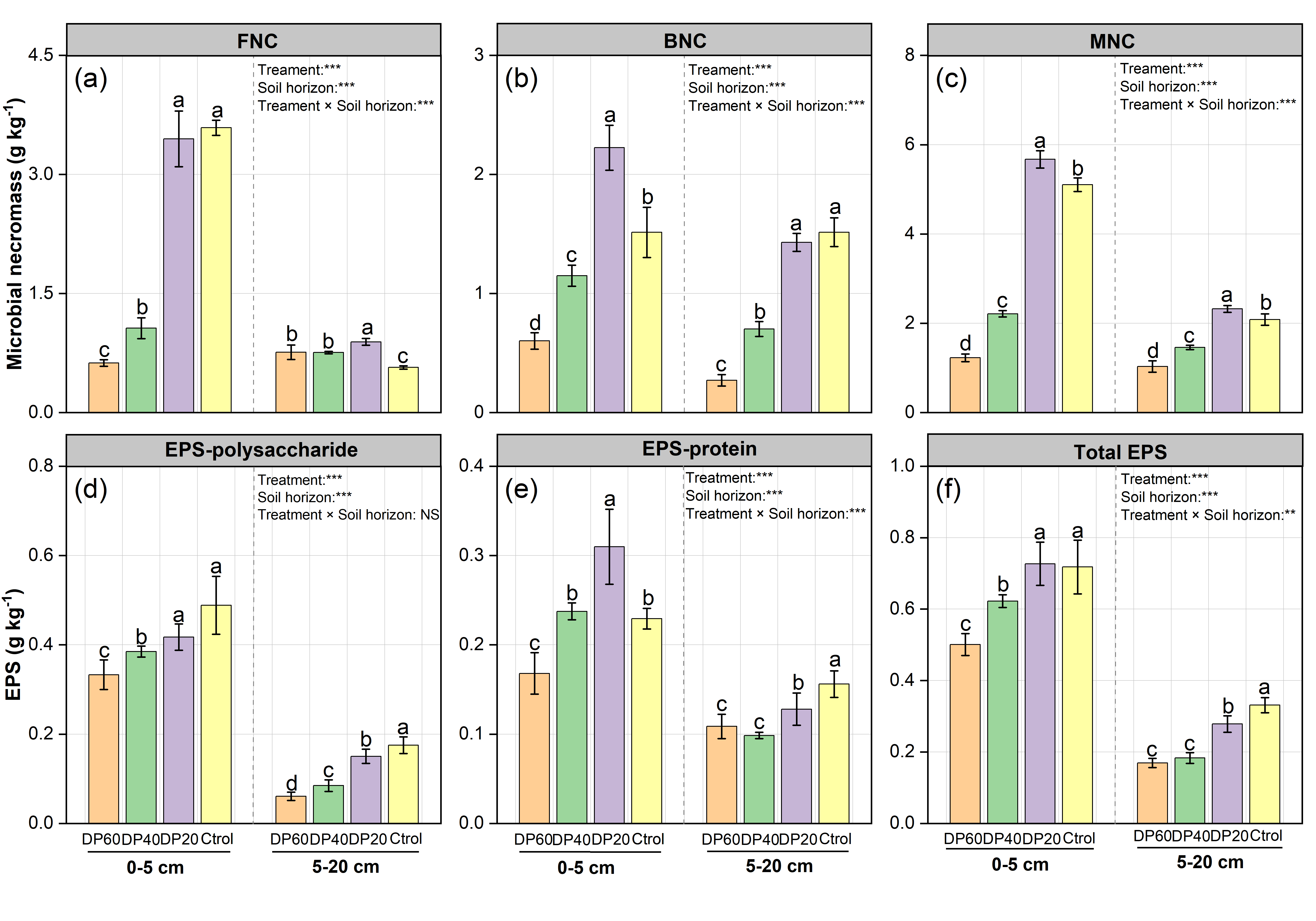
团队最初假设,随着干旱强度增加,微生物为缓解水分胁迫会将更多碳分配给胞外聚合物而非自身生长,从而优先刺激胞外聚合物的积累(图1)。为验证此假设,一项为期9年的田间实验设置了四个水分处理(对照组和20%、40%和 60%的减少)。结果显示,长期干旱条件下,胞外聚合物与微生物残体的含量均呈下降趋势,但前者降幅(30.2%)显著低于后者(76.0%)(图2),表明二者的形成与积累并不同步。值得注意的是,随干旱强度加剧,胞外聚合物的积累效率反而提升,而微生物残体的积累系数未发生显著变化。这证实了在水分胁迫下,微生物确实将碳分配策略从生物量增长转向了胞外聚合物的高效合成(图3)。
综上所述,这些发现直接证明了在维持干旱土壤有机碳库方面,胞外聚合物的贡献比微生物残体更为积极。微生物碳从残体向胞外聚合物的战略性转移,为SOC库提供了一个关键缓冲,这对理解干旱生态系统的碳循环与气候反馈具有重要意义(图4)。

图1 不同干旱程度下微生物残体和胞外聚合物对土壤有机碳形成与周转能力调控机制的假设

图2 干旱处理对微生物残体(a-c)和胞外聚合物(d-f)的影响

图3 微生物多样性与残体及胞外聚合物含量的线性驱动关系(a)和在门水平上微生物群落对微生物残体和胞外聚合物的潜在贡献(b)

图4 干旱调控的胞外聚合物和微生物残体形成的概念图
该研究工作得到了国家自然科学基金(42307440, 42577400)项目、国家资助博士后研究人员计划(GZC20232153)以及陕西省博士后特别资助项目(2023BSHTBZZ27)的联合资助。
原文链接:https://doi.org/10.1016/j.soilbio.2025.110044
编辑:王容娜
终审:李小梅