近日,西北农林科技大学水土保持科学与工程学院(水土保持研究所)、水土保持与荒漠化整治全国重点实验室王飞研究员团队在根系生长力学效应研究中取得新进展,相关成果以“Effects on soil structures by root growth in the Loess Plateau, China”为题发表于国际土壤学领域知名期刊 CATENA。西北农林科技大学博士研究生李镕其为论文第一作者,王飞研究员为通讯作者。
根系在稳定植株、吸收水分、加强土壤结构和稳定性方面具有重要作用,其多功能性是植被和生态系统研究的重点问题。然而,根系在生长过程中不断深入和加粗,会不断对周围土壤产生物理挤压,并改变土壤容重、孔隙度以及水分吸附和传导特性,尤其是林地根系占总生物量20%-40%时,影响更为强烈而持久。目前,学界对根系纵向深入与径向扩展引发的土壤形变及应力变化研究相对薄弱,导致降雨入渗速率等土壤和水文参数的测定和估算出现较大偏差,在黄土高原大规模植被恢复和黄河流域水文过程研究中尤为突出。
为精准量化和评价这一力学效应,王飞研究员团队创新性地设计了一套室内模拟实验装置,通过使用不同直径的模拟根系,在严格控制土壤容重和含水量的条件下,系统地测量了根系生长对周围黄土的压力、容重及抗剪强度的影响,旨在揭示根系挤压这一被忽视的力学机制。

图1 模拟根系生长对周围土壤的挤压效应示意图
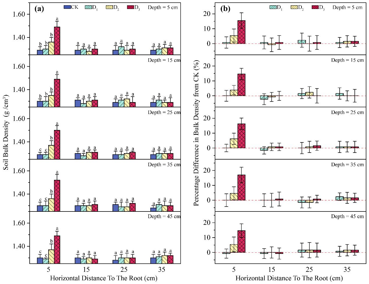
研究结果显示,植物粗根的生长会对周围土壤产生显著的挤压密实作用。尤其当根系直径达到3cm时,会在根系周围5cm范围内形成一个高度压实的“紧密区”,产生的土压力达到6.8 kPa,并使该区域的土壤容重最高增加16.92%;同时,显著提升了土壤的抗剪强度,其中黏聚力(c)和内摩擦角(φ)最大增幅分别达到42.95%和76.96%。

图2 (a)同根径在不同深度和径向距离下的土壤容重(g/cm³);(b) 相对于对照(CK)的容重变化百分比
然而,研究也揭示了这一效应的双重影响:在粗根的强烈挤压下,土壤的剪切行为从塑性的“应变硬化”转变为脆性的“应变软化”,这意味着土壤在达到强度极限后更容易发生突发性破坏。这种由根系挤压形成的“紧密区”与周围疏松土壤之间的力学性质差异界面,可能成为潜在的滑动破坏面,在强降雨等极端条件下或将增加浅层滑坡的风险。

图3 根系水平径向 5 cm 处土壤剪切位移关系曲线
该研究首次将根系生长引起的土壤压实效应(root-induced compaction)明确为一种独立于传统力学加筋和水文加固之外的第三种根系强化土壤机制。这一发现不仅深化了对根-土相互作用力学过程的理解,也为黄土高原植被恢复区的边坡稳定性评价和灾害预警提供了全新的视角。研究建议,在未来的边坡稳定性模型中,应考虑这种由粗根系形成的“双区结构”,从而进一步修正森林土壤物理特性和水文参数,并促进对植被-土壤稳定性研究。
该研究得到了国家自然科学基金项目(42177344,U2243213)、中国科学院国际伙伴计划(16146kysb20200001)、111计划(B20052)的资助。
论文链接:https://doi.org/https://doi.org/10.1016/j.catena.2025.109536
编辑:王容娜
终审:李小梅